|
Артикул
|
Наименование |
Производитель
|
|---|---|---|
| KBI5030 |
KBI5030
KRIBIOLISA Semaglutide ELISA
Организм: человек
Диапазон определения: 0 - 2000 нг/мл
Чувствительность: 15 нг/мл
Производитель:Krishgen
|
Krishgen |
| KBI9030 |
KBI9030
KRIBIOLISA Anti Semaglutide (Ozempic) ELISA
Организм: человек
Диапазон определения: 0 - 2000 нг/мл
Чувствительность: 15 нг/мл
Производитель:Krishgen
|
Krishgen |
| KBN1930 |
KBN1930
KRIBIOLISA Neutralizing Antibodies to Semaglutide (OZEMPIC) ELISA
Организм: человек
Диапазон определения: качественное определение
Чувствительность: качественное определение
Производитель:Krishgen
|
Krishgen |
| KDK13901 |
KDK13901
Semaglutide ELISA Kit
Организм: человек
Диапазон определения: 78.125-5000 нг/мл
Чувствительность:
Производитель:AntibodySystem
|
AntibodySystem |
| KAK13901 |
KAK13901
Anti-Semaglutide ELISA Kit
Организм: человек
Диапазон определения: 15.63-10000 нг/мл
Чувствительность: 6.49 нг/мл
Производитель:AntibodySystem
|
AntibodySystem |
| KAK13903 |
KAK13903
Anti-Semaglutide Neutralizing Antibody ELISA Kit
Организм: человек
Диапазон определения: 156.25 - 10,000 нг/мл
Чувствительность: 102.23 нг/мл
Производитель:AntibodySystem
|
AntibodySystem |
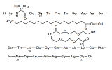
Semaglutide - Семаглутид
Английские синонимы
Rybelsus / Ozempic / NN9535 / OG217SC / NNC 0113-0217
Русские синонимы
оземпик; Семаглютид
Wikipedia
Препарат семаглутид представляет собой биосинтетический аналог глюкагоноподобного пептида-1 (GLP-1), модифицированный для повышения стабильности и продолжительности действия. Молекула действует как агонист рецептора GLP-1 (GLP-1 receptor, GLP1R), который экспрессируется на поверхности бета-клеток островков Лангерганса поджелудочной железы, а также в центральной нервной системе, желудочно-кишечном тракте и сердечно-сосудистой системе. Семаглутид специфически связывается с GLP-1R, активируя внутриклеточные сигнальные пути, опосредованные G-белками, включая аденилатциклазу и накопление цАМФ, что приводит к усилению глюкозозависимой секреции инсулина. Действие препарата сопровождается снижением уровня глюкагона, замедлением гастродуоденальной моторики и повышением чувства насыщения за счёт центрального действия. Благодаря ацилированию по боковой цепи лизина, семаглутид обладает увеличенным периодом полувыведения, что позволяет применять его один раз в неделю. Препарат метаболизируется протеолитически с последующим почечным и печеночным клиренсом. Клинические исследования подтвердили его способность снижать уровень гликированного гемоглобина (HbA1c) и способствовать снижению массы тела у пациентов с сахарным диабетом 2 типа. Семаглутид показан в составе комплексной терапии, включая коррекцию образа жизни и, при необходимости, другие гипогликемические средства. Его применение ассоциировано с повышенным риском желудочно-кишечных побочных эффектов, включая тошноту, рвоту и диарею, особенно в начальной фазе терапии.
|
Артикул
|
Наименование |
Производитель
|
|---|---|---|
| PAX303Ge01 |
PAX303Ge01
Polyclonal Antibody to Semaglutide (SMG)
Источник (хозяин): кролик
Реактивность подтвержденная: для всех
Валидировано для:
ELISA
ICC
Производитель:Cloud-Clone Corp.
|
Cloud-Clone Corp. |
| MAX303Mi21 |
MAX303Mi21
Monoclonal Antibody to Semaglutide (SMG)
Источник (хозяин): мышь
Реактивность подтвержденная: для всех
Валидировано для:
ELISA
Производитель:Cloud-Clone Corp.
|
Cloud-Clone Corp. |
| MAX303Mi22 |
MAX303Mi22
Monoclonal Antibody to Semaglutide (SMG)
Источник (хозяин): мышь
Реактивность подтвержденная: для всех
Валидировано для:
ELISA
Производитель:Cloud-Clone Corp.
|
Cloud-Clone Corp. |
|
Артикул
|
Наименование |
Производитель
|
|---|---|---|
| PHK13901 |
PHK13901
Anti-Semaglutide (GLP-1 analogue) Polyclonal Antibody
Источник (хозяин): кролик
Реактивность подтвержденная: человек
Валидировано для:
ELISA
IHC
WB
Производитель:AntibodySystem
|
AntibodySystem |
| RHK13902 |
RHK13902
Anti-Semaglutide (GLP-1 analogue) Antibody (SAb2275)
Источник (хозяин): мышь
Реактивность подтвержденная: человек
Валидировано для:
ELISA
Производитель:AntibodySystem
|
AntibodySystem |
| RHK13901 |
RHK13901
Anti-Semaglutide (GLP-1 analogue) Antibody (SAb2274)
Источник (хозяин): мышь
Реактивность подтвержденная: человек
Валидировано для:
ELISA
Производитель:AntibodySystem
|
AntibodySystem |
|
Артикул
|
Наименование |
Производитель
|
|---|---|---|
| DPE40105 |
|
AntibodySystem |
Если вы не увидели здесь нужный Вам продукт - это значит, что он доступен для изготовления на заказ.
