| UNIPROT | 0 |
| Иммуноген | RPA758Mu01-Recombinant Complement C3 Convertase (C3 Convertase) |
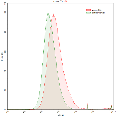
Anti-Complement C3 Convertase (C3 Convertase) Polyclonal Antibody (FAA758Mu01)
Реактивность подтвержденная:
мышь
Источник (хозяин):
кролик
Валидировано для:
FCM
Характеристики
Техническое описание
| Русское название | FAA758Mu01 Поликлональное антитело к C3 Convertase (мышь) <Cloud-Clone,Китай> |
| Каталожный номер | FAA758Mu01 |
| Название антигена | Complement C3 Convertase (C3c) |
| UNIPROT | 0 |
| Иммуноген | RPA758Mu01-Recombinant Complement C3 Convertase (C3 Convertase) |
| Английские синонимы | C3bBb |
Реактивность подтвержденная Нужна другая реактивность? |
мышь |
| Источник (хозяин) | кролик |
| Клональность | поликлональное |
| Рекомбинантное | нет |
| Готовое к использованию | нет |
| Концентрация | 500 мкг/мл |
| Конъюгат | По запросу: PerCP, PE, Cy3, FITC, Cy7, Cy5.5, PE-Cy5, PE-Cy7, PerCp-Cy5.5, APC, Cy5, PE-Cy3, PE-Cy5.5, APC-Cy7, Biotin-APC, FITC-Biotin, TRITC, APC-Cy5, AF488, AF594, AF405, AF555, AF700, AF647, AF750 |
| Валидировано для | FCM Проточная цитометрия |
| Рекомендуемые разведения | FCM: 1-5 мкл на 10^6 клеток в 100 мкл. Оптимальное разведение определяется конечным потребителем |
| Метод очистки | Антигенспецифическая аффинная хроматография с последующей аффинной хроматографией с белком А |
| Состав буфера | 0.01M PBS, pH7.4, 0.05% Proclin-300, 50% глицерин |
| Условия доставки | термобокс с аккумуляторами холода |
| Условия хранения | Хранить при 4°C для частого использования. Хранить при -20°C в течение 12 месяцев. Избегать повторяющихся циклов замораживания/оттаивания |
| Срок хранения | 12 месяцев |
| Производитель | Cloud-Clone Corp. |
| Ссылка на страницу товара на сайте производителя | http://www.cloud-clone.com/products/FAA758Mu01.html |
|
Артикул
|
Наименование |
Производитель
|
|---|
|
Артикул
|
Наименование |
Производитель
|
|---|
Акции и предложения
Популярные продукты:
Rabbit Kappa casein(CSN3) ELISA kit (E04K0085)
Организм: кролик
Goat Alpha tectorin(TECTA) ELISA kit (E06A2006)
Организм: коза
Guinea Pig Sialic Acid Binding Ig Like Lectin 8 ELISA kit (E05S0835)
Организм: морская свинка
Human Sialic Acid Binding Ig Like Lectin 8 ELISA kit (E01S0835)
Организм: человек
Диапазон определения: 10 нг/мл
Диапазон определения: 10 нг/мл

