| UNIPROT | O14618 |
| Иммуноген | RPA596Hu01-Recombinant Superoxide Dismutase Copper Chaperone |
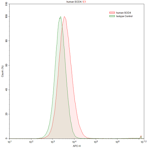
Anti-Superoxide Dismutase Copper Chaperone Polyclonal Antibody (FAA596Hu01)
Реактивность подтвержденная:
человек
Источник (хозяин):
кролик
Валидировано для:
FCM
Характеристики
Техническое описание
| Русское название | FAA596Hu01 Поликлональное антитело к супероксиддисмутазе меди (человек) <Cloud-Clone,Китай> |
| Каталожный номер | FAA596Hu01 |
| Название антигена | Superoxide Dismutase, Copper Chaperone (SOD4) |
| UNIPROT | O14618 |
| Иммуноген | RPA596Hu01-Recombinant Superoxide Dismutase Copper Chaperone |
| Английские синонимы | CCS, Copper Chaperone For Superoxide Dismutase |
Реактивность подтвержденная Нужна другая реактивность? |
человек |
| Источник (хозяин) | кролик |
| Клональность | поликлональное |
| Рекомбинантное | нет |
| Готовое к использованию | нет |
| Концентрация | 500 мкг/мл |
| Конъюгат | По запросу: PerCP, PE, Cy3, FITC, Cy7, Cy5.5, PE-Cy5, PE-Cy7, PerCp-Cy5.5, APC, Cy5, PE-Cy3, PE-Cy5.5, APC-Cy7, Biotin-APC, FITC-Biotin, TRITC, APC-Cy5, AF488, AF594, AF405, AF555, AF700, AF647, AF750 |
| Валидировано для | FCM Проточная цитометрия |
| Рекомендуемые разведения | FCM: 1-5 мкл на 10^6 клеток в 100 мкл. Оптимальное разведение определяется конечным потребителем |
| Метод очистки | Антигенспецифическая аффинная хроматография с последующей аффинной хроматографией с белком А |
| Состав буфера | 0.01M PBS, pH7.4, 0.05% Proclin-300, 50% глицерин |
| Условия доставки | термобокс с аккумуляторами холода |
| Условия хранения | Хранить при 4°C для частого использования. Хранить при -20°C в течение 12 месяцев. Избегать повторяющихся циклов замораживания/оттаивания |
| Срок хранения | 12 месяцев |
| Производитель | Cloud-Clone Corp. |
| Ссылка на страницу товара на сайте производителя | http://www.cloud-clone.com/products/FAA596Hu01.html |
|
Артикул
|
Наименование |
Производитель
|
|---|
|
Артикул
|
Наименование |
Производитель
|
|---|
|
Артикул
|
Наименование |
Производитель
|
|---|
|
Артикул
|
Наименование |
Производитель
|
|---|
Акции и предложения
Популярные продукты:
Recombinant Nodal Homolog (NODAL) (RPK310Mu01)
Источник (хозяин): E.coli
Организм: мышь
Фрагмент: His245-Leu354
Теги: N-концевой His-Tag
Биоактивность: нет
Организм: мышь
Фрагмент: His245-Leu354
Теги: N-концевой His-Tag
Биоактивность: нет
Anti-Human Hepcidin Antibody (SAb2363) (RHF71902)
Источник (хозяин): мышь
Реактивность подтвержденная: человек
Валидировано для: ELISA
Реактивность подтвержденная: человек
Валидировано для: ELISA
Human Zinc finger protein GLI1(GLI1) ELISA kit (E01Z0009)
Организм: человек
Диапазон определения: 0.5-10 нг/мл
Чувствительность: 0.1 нг/мл
Диапазон определения: 0.5-10 нг/мл
Чувствительность: 0.1 нг/мл
Rat cAMP Specific Phosphodiesterase 4B ELISA kit (E02P1051)
Организм: крыса
Guinea Pig Centrin 3(CETN3) ELISA kit (E05C1628)
Организм: морская свинка

