| UNIPROT | Q8WV28 |
| Иммуноген | RPB600Hu01-Recombinant B-Cell Linker Protein (BLNK) |
Polyclonal Antibody to B-Cell Linker Protein (BLNK) (PAB600Hu01)
Реактивность подтвержденная:
человек
Источник (хозяин):
кролик
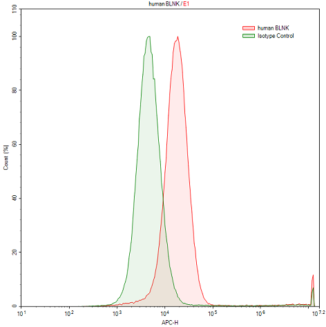
Валидировано для:
FCM
WB
Характеристики
Техническое описание
| Русское название | PAB600Hu01 Поликлональное антитело к BLNK (человек) <Cloud-Clone,Китай> |
| Каталожный номер | PAB600Hu01 |
| Название антигена | B-Cell Linker Protein (BLNK) |
| UNIPROT | Q8WV28 |
| Иммуноген | RPB600Hu01-Recombinant B-Cell Linker Protein (BLNK) |
| Английские синонимы | BASH, BLNK-s, Ly57, SLP65, B-Cell Adapter Containing A SH2 Domain Protein, Cytoplasmic adapter protein, Src homology 2 domain-containing leukocyte protein of 65 kDa |
Реактивность подтвержденная Нужна другая реактивность? |
человек |
| Реактивность предсказываемая | мышь |
| Источник (хозяин) | кролик |
| Клональность | поликлональное |
| Рекомбинантное | нет |
| Готовое к использованию | нет |
| Концентрация | 0.5 мг/мл |
| Конъюгат | По запросу: HRP, biotin, PerCP, PE, Cy3, FITC, Cy7, Cy5.5, PE-Cy5, PE-Cy7, PerCp-Cy5.5, APC, Cy5, PE-Cy3, PE-Cy5.5, APC-Cy7, Biotin-APC, FITC-Biotin, TRITC, APC-Cy5, AF488, AF594, AF405, AF555, AF700, AF647, AF750 |
| Валидировано для | FCM WB Проточная цитометрия; Вестерн-блоттинг |
| Рекомендуемые разведения | WB: 0.01-2 мкг/мл; IHC: 5-20 мкг/мл; IF: 5-20 мкг/мл; Оптимальное разведение определяется конечным потребителем |
| Метод очистки | Антигенспецифическая аффинная хроматография с последующей аффинной хроматографией с белком А |
| Состав буфера | PBS, pH7.4, 0.02% NaN3, 50% глицерин |
| Условия доставки | термобокс с аккумуляторами холода |
| Условия хранения | Сразу после получения аликвотировать и хранить при -20ºС до 24 месяцев. Для частого использования хранить при +4ºС не более 2 недель. Избегать повторения циклов замерзания/оттаивания |
| Срок хранения | 24 месяца |
| Производитель | Cloud-Clone Corp. |
| Ссылка на страницу товара на сайте производителя | http://www.cloud-clone.com/products/PAB600Hu01.html |
|
Артикул
|
Наименование |
Производитель
|
|---|
|
Артикул
|
Наименование |
Производитель
|
|---|
|
Артикул
|
Наименование |
Производитель
|
|---|
|
Артикул
|
Наименование |
Производитель
|
|---|
Акции и предложения
Популярные продукты:
Canine Tropomyosin β chain(TPM2) ELISA kit (E08T0729)
Организм: собака
Porcine Choline kinase Alpha (CHKA) ELISA kit (E07C1681)
Организм: свинья
Monkey Cyclin F(CCNF) ELISA kit (E09C1448)
Организм: обезьяна
Guinea Pig C X C chemokine receptor type 2(IL8RB) ELISA kit (E05C2311)
Организм: морская свинка

