| UNIPROT | P47989 |
| Иммуноген | Синтетический пептид, соответствующий human Xanthine Oxidase |
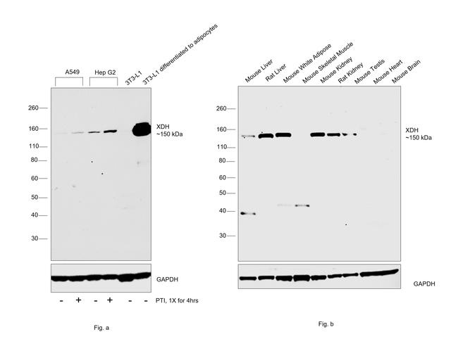
Xanthine Oxidase Recombinant Rabbit mAb (ARM1388)
Реактивность подтвержденная:
человек, мышь, крыса
Источник (хозяин):
кролик
Валидировано для:
IHC
WB
Характеристики
Техническое описание
| Каталожный номер | ARM1388 |
| Название антигена | Xanthine Dehydrogenase (XDH) |
| UNIPROT | P47989 |
| Иммуноген | Синтетический пептид, соответствующий human Xanthine Oxidase |
| Английские синонимы | XO, XOR, XOD, Xanthine Oxidase, NAD+-Xanthine Dehydrogenase, Xanthine-NAD+ Oxidoreductase, Xanthine/NAD+ Oxidoreductase, Xanthine Oxidoreductase |
Реактивность подтвержденная Нужна другая реактивность? |
человек, мышь, крыса |
| Источник (хозяин) | кролик |
| Изотип | IgG |
| Клональность | моноклональное |
| Рекомбинантное | да |
| Готовое к использованию | нет |
| Концентрация | 1 мг/мл |
| Конъюгат | По запросу: HRP, biotin, Cy3, Cy5, APC, AF488, AF594, AF405 |
| Валидировано для | IHC WB Иммуногистохимия; Вестерн-блоттинг |
| Рекомендуемые разведения | WB 1:500~1:2000; IHC 1:50~1:200 |
| Метод очистки | Антигенспецифическая аффинная хроматография |
| Состав буфера | 50 нмоль Tris-Glycine(pH 7.4); 0.15M NaCl; 40% глицерин; 0.01% азид натрия и 0.05% БСА |
| Условия доставки | термобокс с аккумуляторами холода |
| Условия хранения | Сразу после получения аликвотировать и хранить при -20ºС до 12 месяцев с момента получения. Избегать повторения циклов замерзания/оттаивания |
| Срок хранения | 12 месяцев |
| Производитель | AssayVector |
|
Артикул
|
Наименование |
Производитель
|
|---|
|
Артикул
|
Наименование |
Производитель
|
|---|
|
Артикул
|
Наименование |
Производитель
|
|---|
|
Артикул
|
Наименование |
Производитель
|
|---|
|
Артикул
|
Наименование |
Производитель
|
|---|
|
Артикул
|
Наименование |
Производитель
|
|---|
Акции и предложения
Популярные продукты:
Monoclonal Antibody to Bleomycin Hydrolase (BLMH) (MAC220Hu23)
Источник (хозяин): мышь
Реактивность подтвержденная: человек
Валидировано для: WB
Реактивность подтвержденная: человек
Валидировано для: WB
Instant ELISA Kit for Interleukin 6 (IL6) (IEA079Ra)
Организм: крыса
Диапазон определения: 7.8-500 пг/мл
Чувствительность: 129.4 нг/мл
Диапазон определения: 7.8-500 пг/мл
Чувствительность: 129.4 нг/мл
Recombinant Human Vascular Endothelial Growth Factor (HYC026M01)
Источник (хозяин): рисовое зерно
Организм: человек
Теги: без тегов
Биоактивность: да
Организм: человек
Теги: без тегов
Биоактивность: да
Canine Bladder cancer associated protein(BLCAP) ELISA kit (E08B0803)
Организм: собака

